The theoretical discussion about spillovers emerging from impacts on industrial competitiveness and industrial reallocation is based on a comparative static framework. When extended to a dynamic context, the production possibility frontiers of industries are assumed to shift outwards in a way determined by technological change in different sectors as a reflection of an endogenous feedback from GHG emission reduction policies on technological change.
There are three routes by which technology policies in one country affect development in other countries or specific sectors. First, R&D may increase the knowledge base and this will be a general benefit for all the users of a technology. Second, increased market access for low-CO2 technologies, through niche-markets or preferential buyback rates in one country may induce a generic improvement in technology in others. Third, domestic regulations on technology performance and standards, whether imposed or voluntary can create a strong signal for foreign industrial competitors. A paper by Goulder and Schneider (1999) similarly argues that climate change policies bias technical change towards emissions savings.
The possibility of a positive technological spillover from GHG emission reduction policies has not been taken into account in any of the global mitigation studies reviewed in Chapter 8. If this materializes, it could cause further complex shifts of the production possibility frontier, including an outwards shift in the production of the affected goods.
A key issue in evaluating climate change policies is their impact on intragenerational equity, in which one impact indicator is the income distributional consequences of the policies seen in a national context or across countries. Other related equity issues are the distributional impacts of avoided climate change damages that emerge as a result of mitigation policies, which is dealt with by the IPCC WGII TAR, and intergenerational equity, which is discussed in Section 7.2.4.
There are essentially two ways to deal with intragenerational equity. The first is not to deal with it at all in the benefitcost analysis, but to report the distributional impacts separately. These can then be taken into account by policymakers as they see fit, or the information can be fed into a multi-criteria analysis that formalizes the ranking of projects with more than one indicator of their performance.
The second method of analysis is to use income weights, so that impacts on individuals with low incomes are given greater weight than those on individuals with high incomes. Although a number of analysts do not support the use of such weights, some do and policymakers sometimes find an assessment that uses income weights useful. Hence they are included in this chapter.
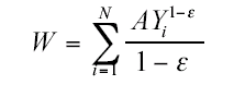
The costs of different GHG programmes, as well as any related benefits, belong to individuals from different income classes. Economic costbenefit analysis has developed a method of weighting the benefits and costs according to who is impacted. This is based on converting changes in income into changes in welfare, and assumes that an addition to the welfare of those on a lower income is worth more an addition of welfare to richer people. More specifically, a special form can be taken for the social welfare function, and a common one that has been adopted is that of Atkinson (1970). He assumes that social welfare is given by the function:

where:
W is the social welfare function,
Yi is the income of individual i,
is the elasticity
of social marginal utility of income or inequality aversion parameter, and
A is a constant.
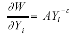
The social marginal utility of income is defined as:

Taking per capita national income,
,
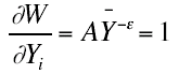
as the numeraire, and giving it a value of one gives:

and

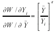
In this way the marginal social welfare impact of income changes by individuals
is the elasticity of the ratio of the per capita income
and the income of individual i, Yi. The marginal social welfare
impact of income changes by individual i also can be denoted as SMUi, where
SMUi is the social marginal utility of a small amount of income going to individual
i relative to income going to a person with the average per capita income. The
values of SMUi are, in fact, the weights to be attached to costs and benefits
to groups relative to different cost and benefit components.
To apply the method, estimates of
and
are required.
The literature contains estimates of the inequality aversion parameter (
)
in the range 12 (Murty et al. 1992; Stern, 1977 ). Some recent
studies that estimate the value of
for the Indian economy (Murty et al., 1992) resulted in values in the
range 1.752.0.19
|
Other reports in this collection |