Climate Change 2001:
Working Group II: Impacts, Adaptation and Vulnerability
Get Javascript
Other reports in this collection
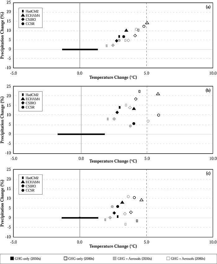
Figure 11-6:
Projected changes in area-averaged annual (a) and seasonal [(b) DJF and (c) JJA)] mean surface air temperature and precipitation over land regions of Asia for the 2050s and 2080s as obtained in select AOGCMs.
Back to text
Table of contents
Other reports in this collection