Climate Change 2001:
Working Group II: Impacts, Adaptation and Vulnerability
Other reports in this collection

13.1.6. Socioeconomic Scenarios for Europe

The four socioeconomic global futures (or SRES scenarios) described in Chapter 3 of this assessment have been characterized for Europe in the European ACACIA study (Jordan et al., 2000), and are summarized below:

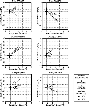
Figure 13-5: Scatter plot depicting scaled outputs of mean winter (left panels) and summer (right panels) temperature and precipitation change over land grid boxes representing Spain (top), Sweden (middle), and Poland (bottom) from each of seven GCM simulations (GFDL simulations are not shown because they extend only to 2025). Lines connect four points for each GCM simulation, each point representing standardized regional changes in climate from the GCM, linearly scaled according to global warming from each of the four ACACIA scenarios. The order of points along a line from the origin is the same for all plots: B1-low, B2-mid, A1-mid, A2-high. Also plotted are 1 and 2 standard deviation limits from 1,400-year HadCM2 unforced simulation, which is used to indicate natural multi-decadal variability.



Other reports in this collection